Diseara
Fun
Dicţionare
Utile
Conversaţii
English
Poza zilei
Propune o imagine!
Problema zilei
Propune o problemă!
Bancuri
Concursuri
Jocuri
Competiţii
Înregistrează-te
Autentificare
Login cu Facebook
Conversaţii
R.I.P.!
Condica de toamna...
Cine posteaza...
Ce gatim azi?
0 Propuneri
Fun
1 Rezolvare
Scrie primul comentariu
Scrie primul comentariu
Să facem loc pentru profesioniști!
Scrie primul comentariu
Dictionar
Roman Englez
Dictionar
Englez Roman
Scrie unul sau mai multe cuvinte în limba română:
Home
»
Fun
»
Problema zilei
Problema zilei
O problemă de rezolvat în fiecare zi
Propune o nouă problemă
Duminică
, 1 februarie 2026
Fun
Propusă de
catanedelcu
(un comentariu)
1.232
afisari
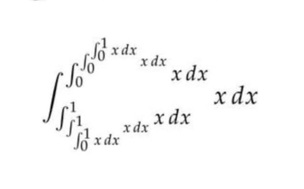
Calculați
Vezi Soluţia
Tags:
Calcul
,
integral
Probleme similare:
Inca o suma
,
Calculati suma
,
Calcul
,
Faceti calculul !
Top 10 cele mai văzute probleme
Top 10 cele mai comentate probleme
Ultimele 10 probleme
Caută probleme după cuvinte cheie
Top 10 cele mai comentate probleme:
Comentarii
1.
Excursia in Nepal
107
2.
N+5 si N-5
100
3.
Picioare... picioare... picioare...
99
4.
2 clepsidre
97
5.
una tot cu sah, un pic mai ...usoara :D
89
6.
100 de celebritati
86
7.
Descoperiti ce se ascunde in imagine
84
8.
Jocuri din liceu.
81
9.
Ferestre duble
76
10.
Fete
75
următoarele 40 »
11.
Ne da... sau nu ne da?
70
12.
Logic-x-4
70
13.
A, D, E, G, J, M, R, S, T, U = ?
66
14.
Pozitia tatalui
65
15.
Ogarul şi vulpea
65
16.
Patrat
63
17.
O alta problema ... cu bete de chibrit
62
18.
Daca nu stiati, puneti mana si rezolvati:)
62
19.
Sase picioare
61
20.
something tricky :)
60
21.
In sensul acelor de ceasornic sau... invers (testul emisferelor creierului)
60
22.
Problema nerezolvata...
60
23.
Doua sfori
59
24.
"Problema zilei" sau "Teoriile lui Cata" ? :D
59
25.
Numarati caii...
59
26.
Problema tehnica.
58
27.
Hai la matematica
58
28.
Cat face?
58
29.
Adevarat sau fals?
58
30.
Gasiti... SOLUTIA!
57
31.
Obtineti cel mai mare numar cu numai doua bete de chibrit...
57
32.
Figuri multiple
56
33.
Mai in fata
56
34.
Dublul lui 0 ?!
56
35.
Sandu si Petre la scoala
56
36.
Unde-i greseala ?!
54
37.
Vinul otravit
52
38.
Smart kids
52
39.
Taiaţi cu grijă
51
40.
Provocare... dificila...
51
41.
40 de cai in 9 grajduri
51
42.
Cladirea cubica cu latura de 5m
50
43.
uneste cifrele
50
44.
Trei de trei
50
45.
Cati lupi vedeti?
49
46.
hotelul
48
47.
Cate litere "F" sunt?
48
48.
Distanţă interesantă
47
49.
Problemă de sah nu prea ușoară...
47
50.
6; 4; 7,5; 6,5; ?
46
februarie 2026
L
M
M
J
V
S
D
26
27
28
29
30
31
1
2
3
4
5
6
7
8
9
10
11
12
13
14
15
16
17
18
19
20
21
22
23
24
25
26
27
28
1
Răspunde
Comentariul tău:
Trebuie să fii autentificat ca să poţi scrie
Click aici pentru a te autentifica
Comentarii (1)
Cel mai bun comentariu!
»»»
Luni
, 2 feb 2026 02:05
[#]
felipes
189/2048? 🙄
»
Propune o Problemă
Competiţii Online
Dicţionar Român Englez
Dicţionar Englez Român
Design Web Site
Program Amanet
Codexul produselor de uz fitosanitar (pesticide)
Grile licenta Spiru
Grile rezolvate Spiru Haret
Gestiune schimb valutar
Ojibwe English Dictionary
SUS
0.2000 / 0.1787 (92)