|
| (3 comments) | 1.624 times displayed |
 |
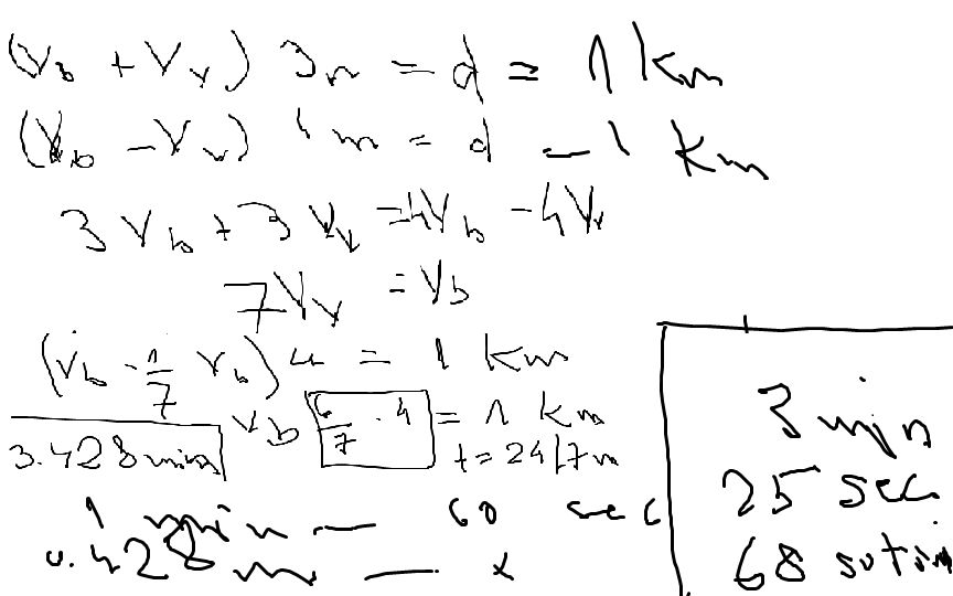
Un biciclist face un kilometru în trei minute cu vântul în spate şi în patru minute cu vântul din faţă.
Dacă forţa de apăsare în pedalelor este egală şi traseul este tot timpul în plan perfect orizontal, în cât timp va parcurge ciclistul un kilometru fără să sufle vântul? |
|
|
|
|