Home
Diseara Fun Dicţionare Utile Conversaţii
EnglishEnglish 
 
Poza zilei
Propune o imagine!
 Problema zilei
Propune o problemă!
 Bancuri
Concursuri
 Jocuri
Competiţii
 Înregistrează-te
Autentificare
  


Problema zilei


O problemă de rezolvat în fiecare zi

Vineri, 28 octombrie 2016

Produs de trei numere

Propusă de GabiOffline
(3 comentarii)1.931 afisari

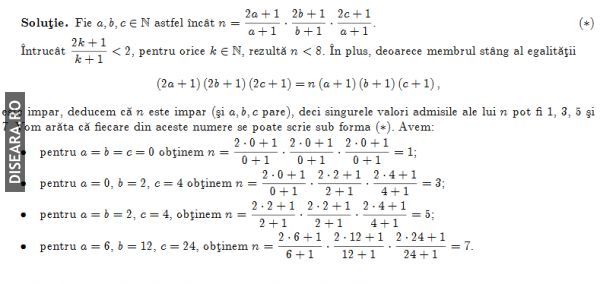
Determinati numerele naturale n care se pot scrie ca produs de trei numere de forma:

2k+1
-------
k+1

unde k este numar natural.


Tags: problema zilei, probleme de matematica, amuzante, matematica amuzanta, algebra, fractii, numere naturale, probleme rezolvate
Probleme similare:
Numere, Reordine, 12 cifre pe cuburi, Probleme concurs clasa 5, Trei numere, Ceva simplu, accesibil..., Cât este distanța între..., Cîte pătrate?, Culoarea și numarul de..., Cele trei comori din..., Ce face al şaptelea..., Sens unic, 3 zaruri, ... și un alt pătrat , Muta un bat..., Un patrat..., Care vas se umple primul, 503, Gasiti ucigasul din..., Sinucidere sau crima?
Top 10 cele mai văzute probleme
Top 10 cele mai comentate probleme
Ultimele 10 probleme
Caută probleme după cuvinte cheie
Top 10 cele mai comentate probleme:Comentarii
1.  Excursia in Nepal 107
2.  N+5 si N-5 100
3.  Picioare... picioare... picioare... 99
4.  2 clepsidre 97
5.  una tot cu sah, un pic mai ...usoara :D 89
6.  100 de celebritati 86
7.  Descoperiti ce se ascunde in imagine 84
8.  Jocuri din liceu. 81
9.  Ferestre duble 76
10.  Fete 75
următoarele 40 »
 octombrie 2016 
L M M J V S D
262728293012
3456789
10111213141516
17181920212223
24252627282930
31123456
Răspunde
Comentariul tău:
Click aici pentru a te autentifica
Comentarii (3)
» Propune o Problemă
SUS
0.8944 / 0.1164 (101)