|  | 
		                    
			                    | (7 comments) | 3.723 times displayed | 
		                    |  | 
		                    
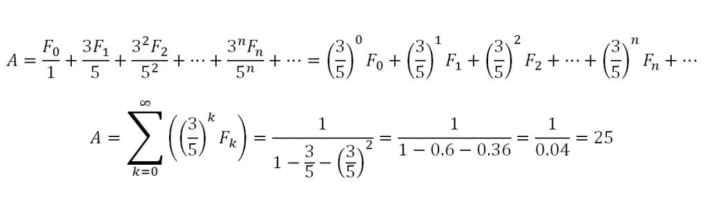
			                    | Sirul lui Fibonacci este un sir de numere naturale definit astfel :   F0 = F1 = 1    si      Fn+1 = Fn + Fn-1 Primii lui termeni sunt :  1,1,2,3,5,8,13....   termenul curent , precum se vede, fiind suma celor doi termeni anteriori. Calculati  suma  infinita  de termeni   A  din imagine.   Obs :  problema de "idee".  Am cautat sa pun azi o problema ce pare mai dificila, la cererea unora dintre voi , dar rezolvarea e simpla  ( normal , e simpla cand o ai in buzunar dinainte :))))  
 | 
		                    
			                    | 
 | 
                            |  | 
                            
				                | avemi prin urmare sirul : A = F0 + (3/5)F1 +     (32/52)F2 +          (33/53)F3       + .... A = F0 + (3/5)F1 + (32/52)(F0+F1) + (33/53)(F1+F2)       + ... A = 1 + 3/5 + (32/52)F0 + (32/52)F1       + (33/53)F1 + (33/53)F2 +       ... pe A il impartim in doua, astfel   A1 + A2 = A   (termenii din A luati din doi in doi )  ca mai jos : 
A1 = 1 + (32/52)F0 + (33/53)F1         + ...A2 = 3/5 + (32/52)F1 + (33/53)F2         + ...
 Se observa ca : 
A1 = 1 + (9/25)A Acum 3/5 = (3/5)F0  , deci: 
A2 = (3/5)A = (15/25)A  , si   A1+A2=A, deci
 A1 = (2/5)A = (10/25)A,  mai departe rezultand ca
              din A1 = 1 + (9/25)A  =>   (10/25)A - (9/25)A = 1  =>  (1/25)A = 1 deci  A = 25   |