Tonight
Fun
Dictionaries
Utils
Conversations
Română
Day's picture
Propose an image!
Day's problem
Propose a problem!
Jokes
Contests
Games
Cups and championships
Register
Login
Login with Facebook
Conversations
Condica de toamna...
Ce gatim azi?
O dorinta pe zi
Condica de...
0 Proposals
Geometry
1 Solution
Hai la film cu cei mici (... daca scrii articole...) !
0 Competitors
Write the first comment
Write the first comment
Să facem loc pentru profesioniști!
Write the first comment
Dictionary
Romanian English
Dictionary
English Romanian
Type one or more words in romanian:
Home
»
Fun
»
Day's problem
Today's Problem
Solve one problem each day
Propose a new problem
Monday
, 31 december 2012
Equal
Proposed by
ile
(7 comments)
4.772
times displayed
5 x a= n
n+ 5= ?
ex. 6x5=(6x10):2
7x6=(5x6)+(2x6) sau 30+12
9x8=(10x8)-8
View the Solution
5xa=n
5x(a+1)=n+5
Tags:
Equal
Similar problems:
Numere
,
Reordering
,
12 numbers on cubs
,
Trei numere
,
Something simple,...
,
To be determined the...
,
Voua va plac numerele?
,
Mingea de tenis...
,
Pomicultor...?
,
Este posibil...?
,
Prime numbers today?
,
One writes the numbers...
,
If one writes 1 at the...
,
Determinati valorile...
,
Aflati numerele
,
Numerele naturale...
,
Determinati numerele...
,
Cincizeci numere naturale
,
Paginile cartii
,
A si B nu sunt ambele...
Top 10 most viewed problems
Top 10 most popular problems
Last ten problems
Search problems by keywords
Top 10 most popular problems:
Comments
1.
The trip to Nepal
107
2.
N+5 si N-5
100
3.
Legs... legs... legs...
99
4.
2 clepsidras
97
5.
...
89
6.
100 celebrities
86
7.
Discover what is hidden in the image
84
8.
Jocuri din liceu.
81
9.
Double windows
76
10.
Faces
75
next 40 »
11.
To be... or not to be...
70
12.
Logic-x-4
70
13.
A, D, E, G, J, M, R, S, T, U = ?
66
14.
The father positioning
65
15.
The fox and the hound
65
16.
Square
63
17.
O alta problema ... cu bete de chibrit
62
18.
Daca nu stiati, puneti mana si rezolvati:)
62
19.
Six feet
61
20.
something tricky :)
60
21.
Clockwise or ...
60
22.
Problema nerezolvata...
60
23.
Doua sfori
59
24.
"Problema zilei" sau "Teoriile lui Cata" ? :D
59
25.
Count the horses...
59
26.
Problema tehnica.
58
27.
Math lesson
58
28.
How much ?
58
29.
True or false ?
58
30.
Find the... SOLUTION!
57
31.
Get the biggest number with only 2 matches...
57
32.
Multiple figures
56
33.
In Front
56
34.
The double of 0 ?
56
35.
Alex and Peter at the school
56
36.
Where is the mistake ?!
54
37.
Vinul otravit
52
38.
Smart kids
52
39.
Taiaţi cu grijă
51
40.
Tough challenge
51
41.
fourty horses in nine yards
51
42.
Cubical building with the side of 5 metres
50
43.
uneste cifrele
50
44.
Three of three
50
45.
How many wolves ?
49
46.
hotelul
48
47.
Cate litere "F" sunt?
48
48.
...
47
49.
Problemă de sah nu prea ușoară...
47
50.
6; 4; 7,5; 6,5; ?
46
december 2012
M
T
W
T
F
S
S
26
27
28
29
30
1
2
3
4
5
6
7
8
9
10
11
12
13
14
15
16
17
18
19
20
21
22
23
24
25
26
27
28
29
30
31
1
2
3
4
5
6
Answer
Your comment:
You must be authenticated to be able to write
Click here to authenticate
Comments (7)
Monday
, 31 dec 2012 09:43
[#]
dnlac
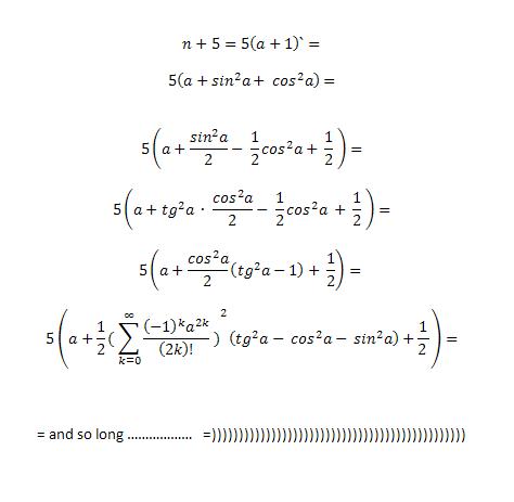
n + 5 = 5 x a + 5? :P
Monday
, 31 dec 2012 12:02
[#]
petrebatranetu
n+5=5xa+5=5(a+1)
Monday
, 31 dec 2012 12:31
[#]
catanedelcu
:)))))))))))))))))))
rezolvare !
Monday
, 31 dec 2012 12:38
[#]
ile
RE:
prima e in romaneste ,a doua-a in engleza ,a trei-a in franceza ,iar urmatoarele e chineza pura ,nu inteleg nimic :)))
Monday
, 31 dec 2012 12:43
[#]
catanedelcu
RE:
pai sunt niste simple egalitati la unii dintre termeni , n-am mai continuat ca mi-a fost lene :)))))))))) pe ideea asta scrisesem pe banca o egalitate gigantica pornind de la 1=1 . a ramas scrisa ani buni acolo, n-a sters-o nimeni ca era prea simpatica, erau si limite, integrale..etc... asa se compun unele probleme, ca sa omoare copii :)))))))))))))))
Monday
, 31 dec 2012 13:00
[#]
tincan
RE:
:)))))
Monday
, 31 dec 2012 12:35
[#]
catanedelcu
sau cum se dau batai de cap elevilor , e suficient sa stii ca 1 = sin²x+cos²x ... de aici incep toate necazurile :)))))))))))))))
»
Propose a Problem
Competiţii Online
Dicţionar Român Englez
Dicţionar Englez Român
Design Web Site
Program Amanet
Codexul produselor de uz fitosanitar (pesticide)
Grile licenta Spiru
Grile rezolvate Spiru Haret
Gestiune schimb valutar
Ojibwe English Dictionary
Toner-shop
UP
0.3450 / 0.1378 (111)